Решу.РФМатематикаФилипповУравнения, допускающие понижение порядка → Задача № 425

(Филиппов А.Ф. Сборник задач по дифференциальным уравнениям: скачать в DjVu - 920 Кб)

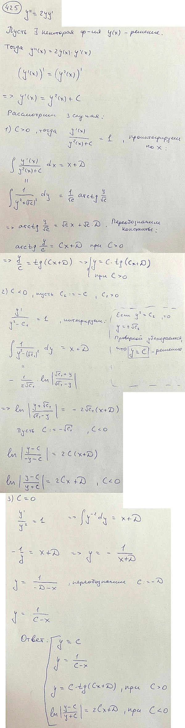
Условие задачи:

Решить уравнение:
y'' = 2yy'.

<< задача 424 || задача 426 >>

Решение задачи:

Уравнения, допускающие понижение порядка - решение задачи 425