Решу.РФ → Математика → Филиппов → Линейные уравнения с переменными коэффициентами → Задача № 740(Филиппов А.Ф. Сборник задач по дифференциальным уравнениям: скачать в DjVu - 920 Кб)
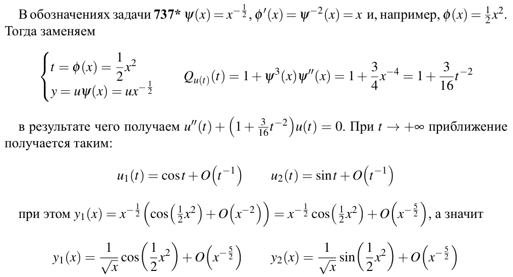
Условие задачи:Исследовать асимптотическое поведение при x → +∞ решений данных уравнений, пользуясь преобразованием Лиувилля (см. задачу 737) и утверждениями п. 4 (стр. 77).
Есть решение в формате TeX: 740.tex
|